Mi trayectoria durante la carrera en el IPN
Desde que inicié mis estudios en la carrera de Ingeniería en Computación en el Instituto Politécnico Nacional (IPN), Unidad Culhuacán, he tenido la oportunidad de enfrentarme a diversos desafíos académicos que han contribuido significativamente a mi formación profesional. A lo largo de estos semestres, he cursado una variedad de materias que no solo han ampliado mis conocimientos, sino que también me han permitido destacar en varias áreas clave de la ingeniería.
Materias en las que he Sobresalido
Cálculo I, II y III
Desde el principio, las matemáticas han sido una de mis fortalezas. En las materias de Cálculo I, II y III, he logrado destacar gracias a mi dedicación y pasión por los números. Estas materias han sido fundamentales para entender conceptos avanzados y aplicarlos en diversos contextos de la ingeniería.
Estructuras de Datos
Estructuras de Datos es otra de las materias en las que he sobresalido. Aprender sobre diferentes formas de organizar y manipular datos ha sido esencial para mi desarrollo como ingeniero en computación. La eficiencia y optimización en el manejo de datos son habilidades que considero cruciales en mi campo.
Programación Orientada a Objetos (POO)
La Programación Orientada a Objetos ha sido una de mis materias favoritas. Me ha permitido desarrollar un pensamiento lógico y estructurado para la creación de software. He disfrutado mucho de diseñar y programar soluciones que aprovechan los principios de la POO, lo que me ha permitido crear aplicaciones más robustas y mantenibles.
Electrónica Analógica
La Electrónica Analógica me ha brindado una comprensión profunda de los componentes y circuitos electrónicos. Esta materia ha sido vital para entender cómo funcionan los dispositivos a nivel físico y cómo interactúan con los sistemas digitales.
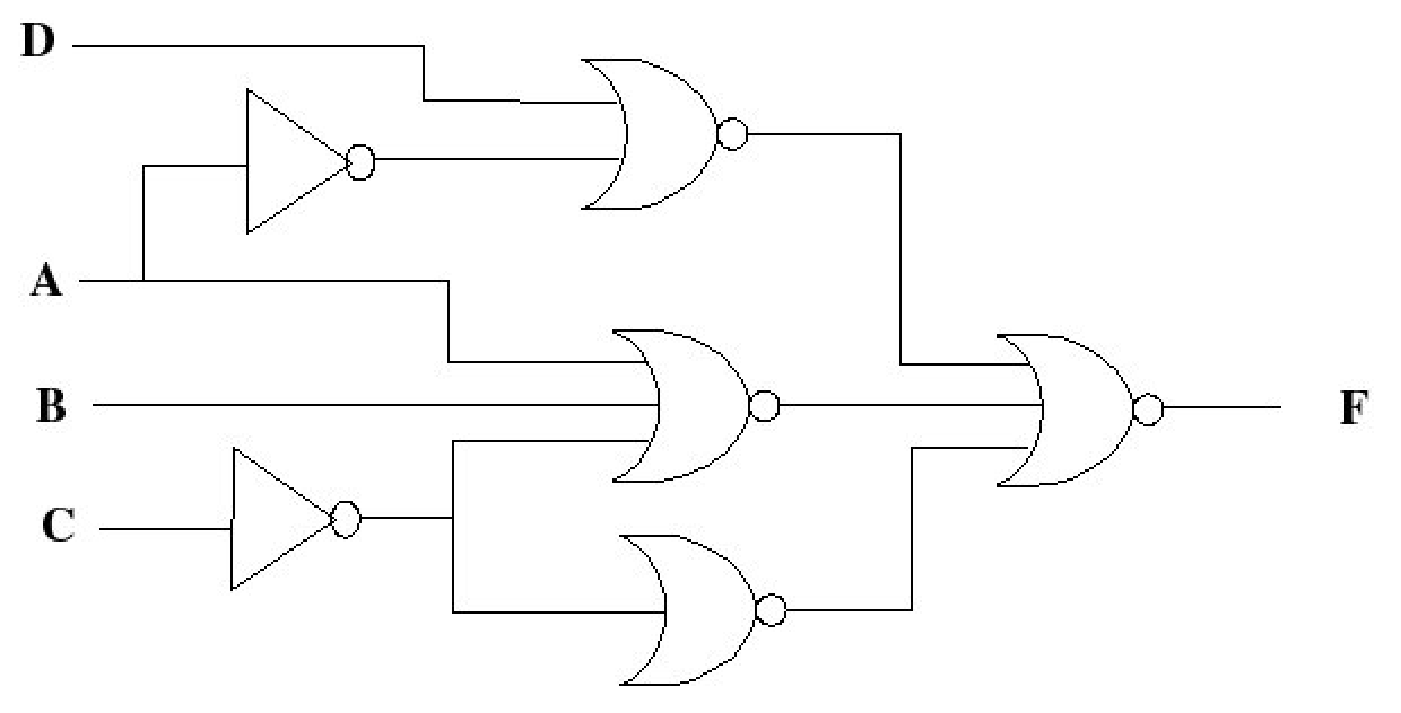
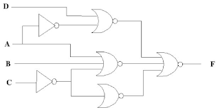
Circuitos Lógicos
En Circuitos Lógicos, he aprendido sobre el diseño y análisis de circuitos digitales, lo que es esencial para la creación de hardware y sistemas embebidos. Esta materia ha complementado mi conocimiento en electrónica y me ha permitido entender mejor la interacción entre hardware y software.




Comentarios
Publicar un comentario